Номер 553 - ГДЗ Алгебра 8 класс. Мерзляк, Полонский. Учебник. Страница 140

Вернуться к содержанию учебника

Упражнения §17. Страница 140

550 551 552 553 554 555 556

Вопрос

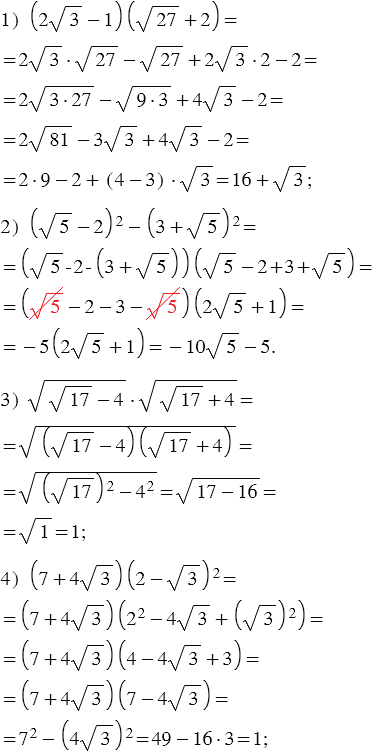
Упростите выражение:

Подсказка

Ответ


Вернуться к содержанию учебника