Номер 550 - ГДЗ Алгебра 8 класс. Мерзляк, Полонский. Учебник. Страница 140

Вернуться к содержанию учебника

Упражнения §17. Страница 140

547 548 549 550 551 552 553

Вопрос

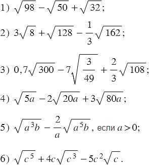
Упростите выражение:

Подсказка

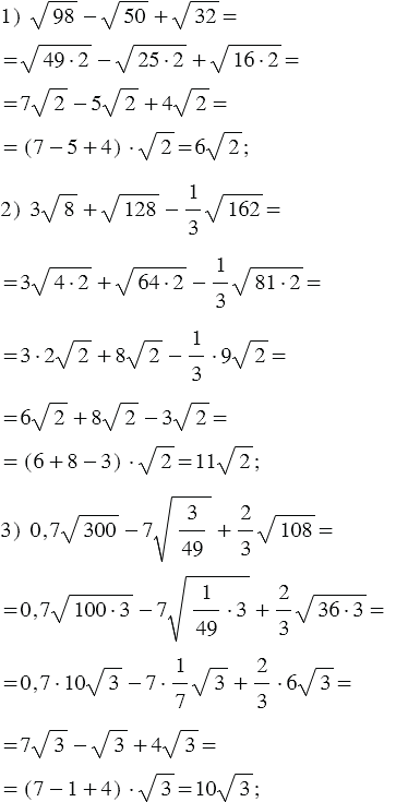
Ответ


Вернуться к содержанию учебника