Номер 556 - ГДЗ Алгебра 8 класс. Мерзляк, Полонский. Учебник. Страница 140

Вернуться к содержанию учебника

Упражнения §17. Страница 140

553 554 555 556 557 558 559

Вопрос

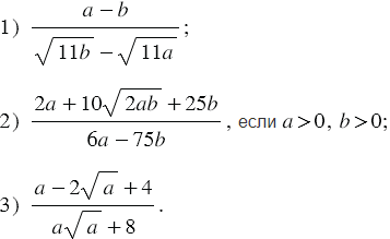
Сократите дробь:

Подсказка

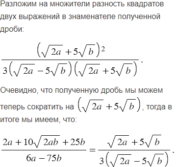
Ответ


Вернуться к содержанию учебника