Номер 549 - ГДЗ Алгебра 8 класс. Мерзляк, Полонский. Учебник. Страница 140

Вернуться к содержанию учебника

Упражнения §17. Страница 140

546 547 548 549 550 551 552

Вопрос

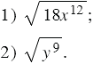
Вынесите множитель из-под знака корня:

Подсказка

Ответ


Вернуться к содержанию учебника