Номер 561 - ГДЗ Алгебра 8 класс. Мерзляк, Полонский. Учебник. Страница 141

Вернуться к содержанию учебника

Упражнения §17. Страница 141

558 559 560 561 562 563 564

Вопрос

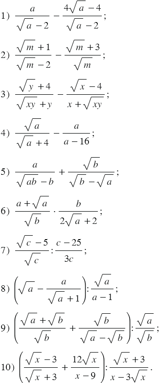
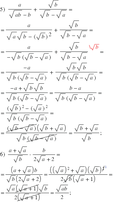
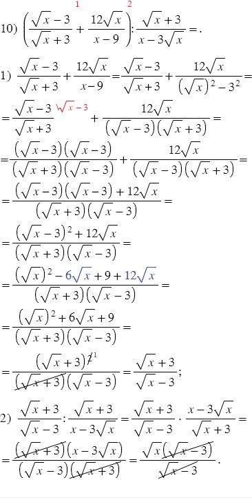
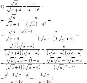
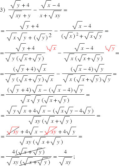
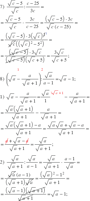
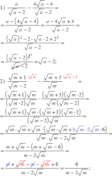
Упростите выражение:

Подсказка

Ответ


Вернуться к содержанию учебника