Номер 565 - ГДЗ Алгебра 8 класс. Мерзляк, Полонский. Учебник. Страница 142

Вернуться к содержанию учебника

Упражнения §17. Страница 142

562 563 564 565 566 567 568

Вопрос

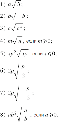
Внесите множитель под знак корня:

Подсказка

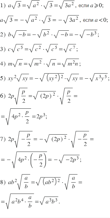
Ответ


Вернуться к содержанию учебника