Номер 639 - ГДЗ Алгебра 8 класс. Мерзляк, Полонский. Учебник. Страница 162

Вернуться к содержанию учебника

Упражнения §19. Страница 162

636 637 638 639 640 641 642

Вопрос

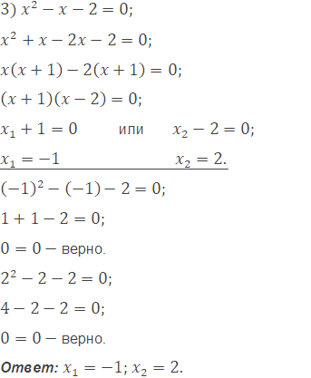
Решите уравнение, разложив его левую часть на множители:

Подсказка

Ответ


Вернуться к содержанию учебника