Вернуться к содержанию учебника
Упражнения §19. Страница 161
629 630 631 632 633 634 635 636 637 638 639
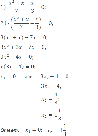
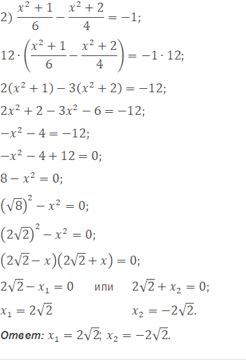
Решите уравнение:
Вспомните: