Номер 526 - ГДЗ Алгебра 8 класс. Мерзляк, Полонский. Учебник. Страница 136

Вернуться к содержанию учебника

Упражнения §17. Страница 136

523 524 525 526 527 528 529

Вопрос

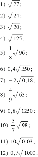
Вынесите множитель из-под знака корня:

Подсказка

Ответ


Вернуться к содержанию учебника