Номер 509 - ГДЗ Алгебра 8 класс. Мерзляк, Полонский. Учебник. Страница 131

Вернуться к содержанию учебника

Упражнения §16. Страница 131

506 507 508 509 510 511 512

Вопрос

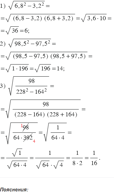
Найдите значение выражения:

Подсказка

Ответ


Вернуться к содержанию учебника