Вернуться к содержанию учебника
Упражнения §16. Страница 131
500 501 502 503 504 505 506 507 508 509 510
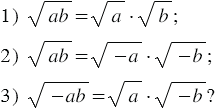
При каких значениях и выполняется равенство:
Вспомните: