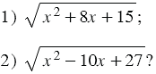
Номер 410 - ГДЗ Алгебра 8 класс. Мерзляк, Полонский. Учебник. Страница 103

Вернуться к содержанию учебника

Упражнения § 12. Страница 103

407 408 409 410 411 412 413

Вопрос

Какое из данных выражений имеет смысл при любом значении :

Подсказка

Вспомните:

  1. Что называют арифметическим квадратным корнем числа.
  2. Как обозначают арифметический квадратный корень из числа.
  3. Как называют выражение, стоящее под радикалом.
  4. Что такое степень числа.
  5. Что такое квадрат числа.
  6. Какие числа называют неотрицательными.
  7. Квадрат суммы и квадрат разности двух выражений.

Ответ


Вернуться к содержанию учебника