Номер 408 - ГДЗ Алгебра 8 класс. Мерзляк, Полонский. Учебник. Страница 103

Вернуться к содержанию учебника

Упражнения § 12. Страница 103

405 406 407 408 409 410 411

Вопрос

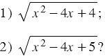
Можно ли утверждать, что при любом значении имеет смысл выражение:

Подсказка

Вспомните:

  1. Что называют арифметическим квадратным корнем числа.
  2. Как обозначают арифметический квадратный корень из числа.
  3. Как называют выражение, стоящее под радикалом.
  4. Что такое степень числа.
  5. Что такое квадрат числа.
  6. Какие числа называют неотрицательными.
  7. Квадрат разности двух выражений.

Ответ


Вернуться к содержанию учебника