Номер 1142 - ГДЗ Алгебра 7 класс. Мерзляк, Полонский. Учебник. Страница 227

Вернуться к содержанию учебника

Страница 227

1139 1140 1141 1142 1143 1144 1145

Вопрос

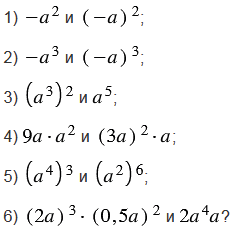
Являются ли тождественно равными выражения:

Подсказка

Ответ


Вернуться к содержанию учебника