Номер 1141 - ГДЗ Алгебра 7 класс. Мерзляк, Полонский. Учебник. Страница 227

Вернуться к содержанию учебника

Страница 227

1138 1139 1140 1141 1142 1143 1144

Вопрос

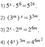
При каком значении верно равенство:

Подсказка

Ответ


Вернуться к содержанию учебника