Номер 1017 - ГДЗ Алгебра 7 класс. Мерзляк, Полонский. Учебник. Страница 201

Вернуться к содержанию учебника

Страница 201

1014 1015 1016 1017 1018 1019 1020

Вопрос

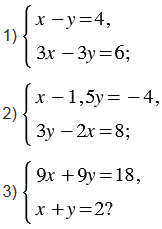
Имеет ли решение система уравнений:

Подсказка

Ответ


Вернуться к содержанию учебника