Номер 1015 - ГДЗ Алгебра 7 класс. Мерзляк, Полонский. Учебник. Страница 201

Вернуться к содержанию учебника

Страница 201

1012 1013 1014 1015 1016 1017 1018

Вопрос

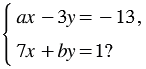
При каких значениях и пара чисел (2; 3) является решением системы уравнений

Подсказка

Вспомните:

  1. Что называют линейным уравнением с двумя переменными.
  2. Что является решением системы уравнений с двумя переменными.
  3. Сложение рациональных чисел.
  4. Вычитание рациональных чисел.
  5. Умножение рациональных чисел.
  6. Деление рациональных чисел.
  7. Линейные уравнения с одной переменной.
  8. Свойства уравнений.
  9. Деление и дроби.

Ответ


Вернуться к содержанию учебника