Номер 910 - ГДЗ Алгебра 8 класс. Мерзляк, Полонский. Учебник. Страница 225

Вернуться к содержанию учебника

Упражнения для повторения курса алгебры 8 класса. Страница 225

907 908 909 910 911 912 913

Вопрос

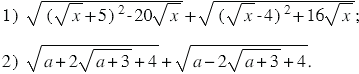
Упростите выражение:

Подсказка

Ответ


Вернуться к содержанию учебника