Номер 888 - ГДЗ Алгебра 8 класс. Мерзляк, Полонский. Учебник. Страница 222

Вернуться к содержанию учебника

Упражнения для повторения курса алгебры 8 класса. Страница 222

885 886 887 888 889 890 891

Вопрос

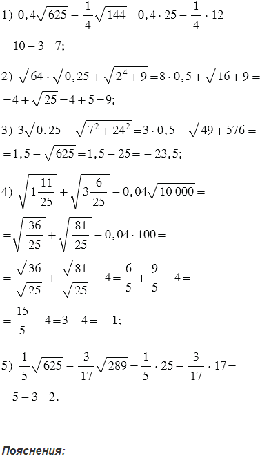
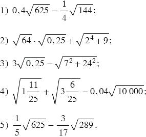
Найдите значение выражения:

Подсказка

Ответ


Вернуться к содержанию учебника