Номер 872 - ГДЗ Алгебра 8 класс. Мерзляк, Полонский. Учебник. Страница 219

Вернуться к содержанию учебника

Упражнения для повторения курса алгебры 8 класса. Страница 219

869 870 871 872 873 874 875

Вопрос

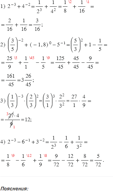
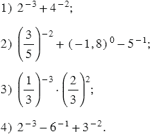
Найдите значение выражения:

Подсказка

Ответ


Вернуться к содержанию учебника