Вернуться к содержанию учебника
Упражнения для повторения курса алгебры 8 класса. Страница 215
12 839 840 841 842 843 844 845 846 847 848
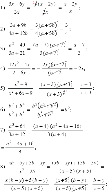
Сократите дробь:
Вспомните: