Вернуться к содержанию учебника
Упражнения §20. Страница 171
682 683 684 685 686 687 688 689 690 691 692
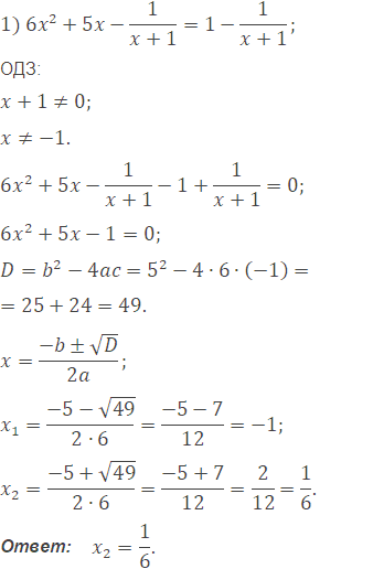
Решите уравнение:
Вспомните: