Вернуться к содержанию учебника
Упражнения §20. Страница 169
665 666 667 668 669 670 671 672 673 674 675
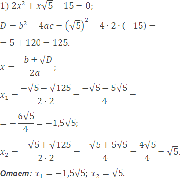
Решите уравнение:
Вспомните: