Номер 650 - ГДЗ Алгебра 8 класс. Мерзляк, Полонский. Учебник. Страница 163

Вернуться к содержанию учебника

Упражнения §19. Страница 163

647 648 649 650 651 652 653

Вопрос

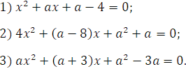
Определите, при каком значении один из корней квадратного уравнения равен 0, и найдите второй корень уравнения:

Подсказка

Вспомните:

  1. Что такое уравнение.
  2. Что называют корнем уравнения.
  3. Какое уравнение называют квадратным.

Ответ


Вернуться к содержанию учебника