Номер 398 - ГДЗ Алгебра 8 класс. Мерзляк, Полонский. Учебник. Страница 102

Вернуться к содержанию учебника

Упражнения § 12. Страница 102

395 396 397 398 399 400 401

Вопрос

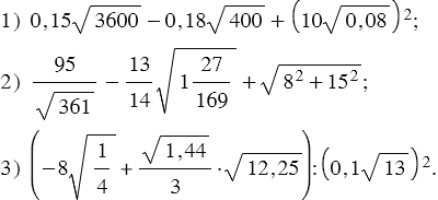
Найдите значение выражения:

Подсказка

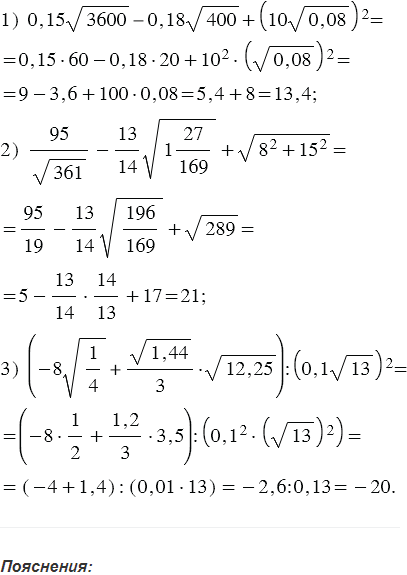
Ответ


Вернуться к содержанию учебника