Номер 77 - ГДЗ Алгебра 8 класс. Мерзляк, Полонский. Учебник. Страница 22

Вернуться к содержанию учебника

Упражнения § 3. Страница 22

74 75 76 77 78 79 80

Вопрос

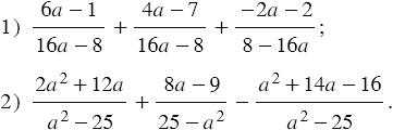
Упростите выражение:

Подсказка

Ответ


Вернуться к содержанию учебника