Номер 60 - ГДЗ Алгебра 8 класс. Мерзляк, Полонский. Учебник. Страница 18

Вернуться к содержанию учебника

Упражнения § 2. Страница 18

57 58 59 60 61 62 63

Вопрос

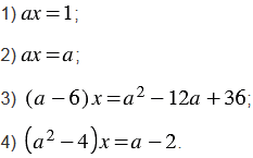
Для каждого значения решите уравнение:

Подсказка

Вспомните:

  1. Что называют решением уравнения.
  2. Уравнение с одной переменной, его корни.
  3. Какую дробь называют рациональной (допустимые значения переменных).
  4. Основное свойство рациональной дроби (сокращение дробей).
  5. Что называют одночленом.
  6. Что называют многочленом.
  7. Степень с натуральным показателем.
  8. Свойства степени с натуральным показателем.
  9. Разложение многочленов на множители.
  10. Разность квадратов двух выражений.
  11. Квадрат разности двух выражений.
  12. Деление и дроби.
  13. Сложение рациональных чисел.
  14. Вычитание рациональных чисел.

Ответ


Вернуться к содержанию учебника