Номер 28 - ГДЗ Алгебра 8 класс. Мерзляк, Полонский. Учебник. Страница 14

Вернуться к содержанию учебника

Упражнения § 2. Страница 14

2 3 27 28 29 30 31

Вопрос

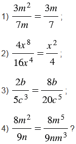
Является ли тождеством равенство:

Подсказка

Вспомните:

  1. Что называют тождеством, основное свойство рациональной дроби (сокращение дроби).
  2. Что называют тождественным преобразованием.
  3. Что называют одночленом.
  4. Степень с натуральным показателем.
  5. Свойства степени с натуральным показателем.
  6. Допустимые значения переменных.

Ответ


Вернуться к содержанию учебника