Номер 24 - ГДЗ Алгебра 8 класс. Мерзляк, Полонский. Учебник. Страница 9

Вернуться к содержанию учебника

Упражнения § 1. Страница 9

21 22 23 24 25 26 1

Вопрос

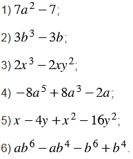
Разложите на множители:

Подсказка

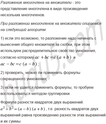
Вспомните:

  1. Что называют многочленом.
  2. Разложение многочленов на множители.
  3. Степень с натуральным показателем.
  4. Свойства степени с натуральным показателем.
  5. Разность квадратов двух выражений.
  6. Квадрат разности двух выражений.
  7. Свойства действий с рациональными числами.

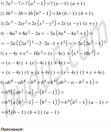
Ответ


Вернуться к содержанию учебника