Номер 849 - ГДЗ Алгебра 7 класс. Мерзляк, Полонский. Учебник. Страница 166

Вернуться к содержанию учебника

Страница 166

846 847 848 849 850 851 852

Вопрос

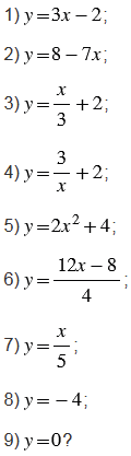
Является ли линейной функция, заданная формулой:

В случае утвердительного ответа укажите значения коэффициентов и .

Подсказка

Ответ


Вернуться к содержанию учебника