Номер 63 - ГДЗ Алгебра 7 класс. Мерзляк, Полонский. Учебник. Страница 18

Вернуться к содержанию учебника

Страница 18

60 61 62 63 64 65 66

Вопрос

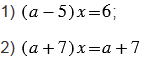
При каких значениях уравнение:

имеет единственный корень?

Подсказка

Вспомните:

  1. Что такое корень уравнения.
  2. Линейные уравнения, количество корней линейного уравнения.
  3. Противоположные числа.
  4. Сумма противоположных чисел.

Ответ


Вернуться к содержанию учебника